色情視頻

北理工团队在平台毛利保护契约方面取得重要研究进展

a4564a5abb32453a89ca0d2f5023596f.png

在国家自然科学基金项目资助下,由北京理工大学郑鸿博士、李果教授,与复旦大学田林教授组成的研究团队,基于平台供应链场景,揭示了毛利保护契约的作用机制,分析了毛利保护契约对平台供应链的系统性影响,为我国合理监管平台对毛利保护契约的使用提供了理论依据。研究成果以“是福还是祸? 竞争环境下毛利保护契约作用机制研究(A Bane or a Boon? Profit-Margin-Guarantee Contract in a Channel with Downstream Competition)”为题,于2023年7月在《Production and Operations Management》期刊上正式发表。

数字化平台作为数字经济的重要组织范式,在赋能实体产业链供应链的同时,也因为权力结构失衡产生了不公平契约等问题。其中,除“二选一”政策外,最备受争议的是“毛利保护契约”。为此,科学分析毛利保护契约的系统性影响成为平台供应链健康发展亟待解决的关键性问题。

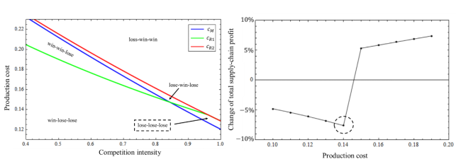
该研究构建了竞争环境下毛利保护契约的理论研究模型,通过科学方法量化分析了毛利保护契约对平台供应链成员的收益影响,并提出了提升平台供应链整体运营效率的优化策略。研究发现,供应商可以策略性地调整批发价格影响平台对于触发毛利保护契约的动机。同时,毛利保护契约的实施虽然可能会提高供应商、签约平台或未签约平台的收益,但“三方共赢”的局面不会存在。相反,会出现“三方共输”的情形(图);数值结果显示,该情形下,毛利保护契约会导致平台供应链整体利润降低约7.5%。合理监管毛利保护契约的使用,有助于平台供应链的持续健康发展,加快促进实体经济与数字经济的深度融合。

image.png

毛利保护契约对平台供应链的收益影响

《Production and Operations Management》是美国德克萨斯大学达拉斯分校遴选的24本商学院顶级学术期刊(简称UTD 24)之一,也是金融时报评定的50本商学院顶级学术期刊(简称FT50)之一,也是英国商学院协会(ABS)评选出的4星级期刊,在国际管理学界享有较高的学术声誉。

论文链接:https://onlinelibrary.wiley.com/doi/10.1111/poms.13958。

论文详情: Hong Zheng, Lin Tian, Guo Li*. A bane or a boon? Profit-margin-guarantee contract in a channel with downstream competition. Production and Operations Management, 2023, 32(7), 2087-2100.



分享到: